SmartAdmin WebApp
All Language
All Language
Japanese
English
Portuguese
N/A
Chinese
Spanish
Dutch
Korean
Russian
French
Polish
Italian
German
Thai
Other
Vietnamese
Hungarian
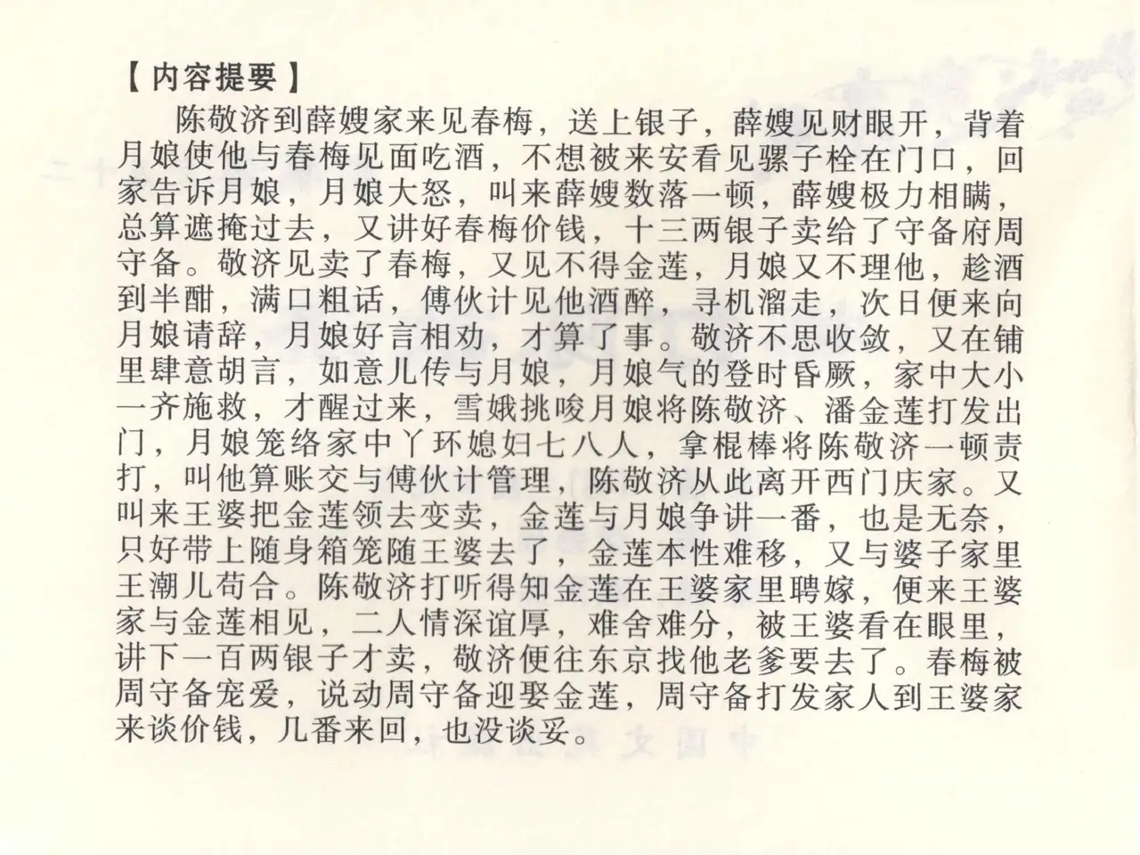
金瓶梅全传 五十二 棒打陈敬济 [中国文苑出版社]
金瓶梅全传 五十二 棒打陈敬济 [中国文苑出版社]
Manga
Visible : Yes
Length : 89 pages
Favorited : 23
Rating :
3(21)
Create Date : 2025-01-02 10:27:22
Modify Date : 2025-12-08 23:22:53
Manga
Visible : Yes
Length : 89 pages
Favorited : 23
Rating :
3(21)
Create Date : 2025-01-02 10:27:22
Modify Date : 2025-12-08 23:22:53
Language
chinese
Parody
jin ping mei
Layout Settings
User Interface Settings
App Layout
Fixed Header
header is in a fixed at all times
Fixed Navigation
left panel is fixed
Minify Navigation
Skew nav to maximize space
Hide Navigation
roll mouse on edge to reveal
Top Navigation
Relocate left pane to top
Fixed Footer
page footer is fixed
Boxed Layout
Encapsulates to a container
Fixed Background
Mobile Menu
Push Content
Content pushed on menu reveal
No Overlay
Removes mesh on menu reveal
Off-Canvas
(beta)
Content overlaps menu
Accessibility
Bigger Content Font
content fonts are bigger for readability
High Contrast Text (WCAG 2 AA)
4.5:1 text contrast ratio
Daltonism
(beta)
color vision deficiency
Preloader Inside
preloader will be inside content
SmartPanel Icons (not Panels)
smartpanel buttons will appear as icons
Global Modifications
Clean Page Background
adds more whitespace
Hide Navigation Icons
invisible navigation icons
Disable CSS Animation
Disables CSS based animations
Hide Info Card
Hides info card from left panel
Lean Subheader
distinguished page header
Hierarchical Navigation
Clear breakdown of nav links
Dark Navigation
Navigation background is darkend
Global Font Size
SM
MD
LG
XL
Change
root
font size to effect rem values (resets on page refresh)
Theme colors
more info
Theme Modes (beta)
why beta?
Internet Explorer Issue
This particular component may not work as expected in Internet Explorer. Please use with caution.
Default
Light
Dark
Reset Settings
Factory Reset